能源與環境問題給鋼鐵企業和陶瓷工業等行業的快速發展帶來限制性影響,節能降耗和減少排放是企業技術進步和可持續發展的必然選擇。工業爐是工業加熱的關鍵設備,廣泛應用于高溫工業。工業爐是高耗能設備。在工業窯爐的節能過程中,除了熱源改造、燒結工藝改造、燃燒工藝改造和窯爐結構改造外,窯爐用耐火材料和窯具耐火材料性能的好壞對工業窯爐的節能效果有著決定性影響。工業窯爐中熱量消耗基本上可以分解為產品吸收的熱量、窯具吸收的熱量、煙氣帶走的熱量、窯壁和窯車吸收的熱量、窯體散熱損失的熱量等幾個部分,其中僅僅用于產品吸收的熱量是有效能量。我國的能源利用率較低,工業爐的熱效率平均為 30%,其中鍛造爐為 5%~20%,熱處理爐為 8%~25%,連續加熱爐的熱效率稍高一些,也只有 30%~55%,與國際上工業爐的熱效率平均為 50%以上相比有較大的差距。
為應對能源形勢的嚴峻挑戰,工業爐節能降耗是發展的必然趨勢。工業爐節能與窯襯耐火材料的技術進步、窯爐技術設計和施工密切相關。窯襯耐火材料在工業窯爐中的節能作用是通過多種窯襯耐火材料與隔熱保溫材料組合,采用耐火絕熱一體化輕質耐火材料作為窯體結構材料,使窯體減少散熱損失和蓄熱損失達到節能目的。窯襯耐火材料與隔熱保溫材料組合有多種途徑,本研究從傳熱角度出發,計算分析采用幾種不同熱導率窯襯耐火材料結構組合,對其進行包括熱流密度和外表面溫度的變化等傳熱分析,為優化工業爐窯襯耐火材料組合和研究耐火節能一體化結構以及發展新型節能型耐火材料提供技術依據。

軋鋼加熱爐爐壁熱傳導計算
軋鋼生產能耗約占鋼鐵聯合企業生產總能耗的十分之一, 其中 75%~80%消耗于各種加熱爐,軋鋼加熱爐的熱效率對鋼鐵廠軋制工序的能耗起著至關重要的作用。通過傳熱計算分析采用輕質保溫材料對爐壁散熱的影響。軋鋼爐為連續加熱爐爐型,因此計算時不考慮爐襯材料的蓄熱,只分析工作狀態下通過爐墻的散熱。
1.1 傳熱計算模型
熱量通過爐襯材料由爐墻內壁向外壁傳遞方式為導熱傳熱,爐墻外壁對周圍環境的傳熱方式是對流和輻射同時存在,由于爐墻外表面溫度較低(一般< 100 ℃),對流為主要傳熱方式,其總傳熱量為輻射傳熱和對流傳熱量之和,即:

為便于對復雜的傳熱現象進行綜合計算,一般將公式統一為以下形式:

式中,Q-傳熱量(W);h-爐墻外側對流換熱的表面傳熱系數,W/(m2·K);A-爐墻面積(m2);tb-爐墻外壁溫度(℃);tf-爐墻外側空氣溫度,即環境溫度(℃);C0-絕對黑體的輻射系數,5.68 W/(m2·K4);ε-爐墻外壁的黑度;φ-輻射角系數;α-對流輻射綜合傳熱系數,W/(m2·K)。
以上公式適合已知爐墻外壁溫度時熱損失計算。在無法測得該數據時,可根據爐膛內壁溫度計算爐墻的溫度場分布。加熱爐爐墻傳熱為第三類邊界條件的穩態多層平壁傳熱模型,爐殼鋼板較。▋H為幾毫米),其熱導率 λ 為 54 W/(m·K),遠遠高于耐火材料的熱導率,因此鋼板的傳熱熱阻可忽略不計。
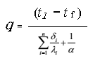
單位時間內通過單位面積傳遞的熱量稱為熱流密度 q, q = ∫ −λ ∂t dx (W/m)。∂x
熱流密度是向量,由高溫到低溫的方向為正,與溫度梯度相反。爐墻單位面積的熱損失,即爐膛內壁通過爐襯傳給加熱爐周圍環境的熱流密度數值為:

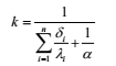
式中,t1-爐墻內壁溫度(℃);tf-爐墻外側空氣溫度,即環境溫度(℃);δi-第 i 層爐襯材料的厚度(m);λi-第 i 層爐襯材料的熱導率,W/(m·K)。爐墻的綜合傳熱系數 k 為

不同爐襯的界面溫度為

熱導率 λ 是熱工計算非常重要的參數,λ 數值受溫度影響,典型的軋鋼加熱爐爐襯厚度為 400~500 mm,以爐墻內表面溫度為 1250 ℃和爐襯厚度為 450 mm 為例計算,爐襯結構分別為:爐襯結構Ⅰ為全重質耐火澆注料;爐襯結構Ⅱ為 50 mm 纖維板+400 mm 澆注料的復合爐襯;爐襯結構Ⅲ為 100 mm 纖維板+115 mm 輕質粘土保溫磚+235 mm 澆注料的復合爐襯;爐襯Ⅳ為105 mm 纖維板+230 mm JM23 絕熱保溫磚+115 mm輕質莫來石耐火磚。爐襯材料的計算熱導率按各自平均工作溫度下的熱導率取值。爐墻外壁的對流輻射綜合傳熱系數,取 15~20 W/(m2·K) [2],爐墻外壁空氣溫度即車間溫度取值 25 ℃,計算結果如表 2 所示。由表 2 可知采用復合爐襯Ⅳ的爐墻散熱為采用全重質澆注料爐襯結構Ⅰ的 8%左右。與爐襯結構Ⅰ相比,相同厚度的爐 墻,爐襯結構Ⅱ在 400 mm 厚的低水泥澆注料加貼 50 mm 耐火纖維后,熱流密度大幅度下降,僅450 mm 全澆注料爐襯的 50%。國內許多加熱爐的節能改造方式為在原有爐襯加貼耐火纖維,即收到了較好的節能效果。
1250 ℃軋鋼加熱爐爐墻的一維溫度場?梢钥闯鲕堜摖t 4 種爐襯的爐墻外表面溫度分別為357,123,79 和 51 ℃。爐襯結構Ⅰ和爐襯結構Ⅱ的外表面爐墻溫度太高顯然不符合 GB/T 3486-93 標準規定。目前軋鋼加熱爐的爐襯結構一般是復合爐襯Ⅲ即纖維、輕質磚和重質低水泥澆注料的復合爐襯結構。考慮到初始投資、使用壽命和節能的綜合效益,軋鋼
加熱爐的爐襯結構 105 mm 纖維板+230 mm JM23 絕熱保溫磚+115 mm 輕質莫來石耐火磚將具有更好的節能效果。